[Burichan] [Futaba] [Howler] - [Home] [Manage]

[Return]
Posting mode: Reply
Leave these fields empty (spam trap):
Name
Link
Subject
Comment
File
Verification
Password (for post and file deletion)
  • Supported file types are: GIF, JPG, PNG
  • Maximum file size allowed is 1000 KB.
  • Images greater than 200x200 pixels will be thumbnailed.

File: 1505853551096.jpg -(268079 B, 1200x1529) Thumbnail displayed, click image for full size.
268079 No.4686  
Oh shit, it's the math thread
Post your archive of very detailed graphs here

The grounding-topic for this instance of 「Math Thread」 is: the application of mathematics to real-world problems

Translator's note: Statistics is mathematics as well; I think past 「
fuck
>> No.4687  
File: 1505854208513.jpg -(27634 B, 268x326) Thumbnail displayed, click image for full size.
27634
>> No.4688  
File: 1505854626869.png -(90629 B, 671x327) Thumbnail displayed, click image for full size.
90629
Ah, here's an interesting, short read for you all about the Königsberg bridge problem
https://nrich.maths.org/2484
Pretty much, is it possible to walk across all the bridges in the figure exactly once without doubling back across one of them?
[spoiler]The answer is no, and the proof is very interesting![/spoiler]

This problem led the // led to much interest in developing graph theory!
>> No.4689  
File: 1505854942620.png -(249810 B, 682x523) Thumbnail displayed, click image for full size.
249810
>> No.4694  
File: 1505855758083.png -(25081 B, 1985x1076) Thumbnail displayed, click image for full size.
25081
Here's a neat application I'm working on
The set-up is this:

Every picture I own has some content in it, which can be "tagged"
These tags are things like "blue sky" or "woman wth parasol", and can be used to describe a picture

In a much more practical sense, it is evident that almost every picture tagged "akemi homura" also has the "puella magi madoka magica" tag
Similarly, every picture with the "Mizunashi Akari" tag has the "Aria" tag

But the trick is that not every picture is already tagged; mostly because not every picture has been tagged yet. It also happens that in these cases the correlation of "Mizunashi Akari" with "Aria" is damn near 1, but there are other cases where the correlation is lower with other tags. In short:
What is a good metric to tell if two tags are "well-related"? Is it a correlation, or is there a better metric to tell? It's my understanding that correlation is a computationally expensive statistic to derive.

I will post the dataset here soon so you can glance through it
>> No.4699  
File: 1505857219969.png -(25481 B, 1971x1115) Thumbnail displayed, click image for full size.
25481
>>4694
>> No.4701  
>>4694 coolness!
>> No.4703  
File: 1505861451399.gif -(2397 B, 463x137) Thumbnail displayed, click image for full size.
2397
>>4694
Why do you want to correlate these things?
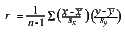
Heres r
>> No.4707  
File: 1505863238871.jpg -(32307 B, 300x346) Thumbnail displayed, click image for full size.
32307
>>4703
I want to make inferences about how much ass a show has w/o having to power through it

Actually, I'm interested in esoterically drawing connections between tags but I'm no statistics-boy
On second thought, the correlation coeff doesn't seem too complex to compute; if it's taken that the sample space is all indexed pictures, I only need to iterate through the list once for every tag
>> No.4711  
>>4707
Six degrees of Hitler, but with dragon ball z tiddies
nice

Are you wanting to correlate everything with everything else?

Asuka <==> ass <==> monster monsume <==> tits <==> bulma (milf) <==> dragon ball z
(.8) //_(.8)___(.6)_______________(.95)___(.6)___________(1)______
Fuck

I hope you understand my idea here.
>> No.4738  
File: 1505916727066.jpg -(64812 B, 220x278) Thumbnail displayed, click image for full size.
64812
Hello friends, I bring an interesting dataset
https://bm.howler.space/trash/hooya.txt
This is ofc a tree-style diagram so that it's easy to read off values
I think it goes w/o saying that the parent node of each branch is a particular case, and then the children of each branch are how many times the child node occurs in unison (on the same picture) as the parent
If you're interested in a more raw data format, here is a .csv file which you can import into Excel or something
https://bm.howler.space/trash/hooya_raw.csv
The columns are listed at the top of the file, but for posterity they are:
TagX, which corresponds to a parent tag in the tree diagram I posted above
X Frequency, which is simply how many pictures are tagged as TagX
TagY, which corresponds to a child tag in the tree diagram
Y Frequency given X, which is the number of times the tag TagY occurs in files which are tagged with TagX
P(Y|X), a simple calculation of ("Y Frequency given X"/"X Frequency")

I posit that P(Y|X) is a good metric which is simple to calculate, and can lead to some insight into the relevance of TagY with TagX

I'm working on some other projects ATM so the implications of this dataset will have to wait for a little bit; I hope you find this data interesting, \math\!
>> No.4917  
File: 1506277709988.jpg -(21059 B, 268x326) Thumbnail displayed, click image for full size.
21059
moar data fun here
https://bm.howler.space/hub/hooYa/stats/index.php?tags
click on a tag for more detail than you ever fucking asked for
simple man's summary here:
https://bm.howler.space/hub/hooYa/stats/index.php?overview

you can help us to organize our pictures by adding appropos tags at
https://bm.howler.space/hub/hooYa/random.php
which is a randomly selected vein of the pictures we have yet to organize
and if you create an account (https://bm.howler.space/hub/common/util/acc_create.php) + sign in, you can fight on the high score table at https://bm.howler.space/hub/common/util/users.php

//fucking ^ https://bm.howler.space/hub/common/util/acc_create.php
>> No.5126  
What interesting things would happen if there were 2 extra days between every day of the week? How many days would there be in a week, or would the week expand to exist forever?
>>5127
7 days is pretty rough
7 + (2 * 6) days would be worse
an extra weeknd would be welcome, but maybe it is the case that we have an extra weeknd in the middle of every two weeks
>> No.5127  
Don't be so depressive. The week is long enough, I can barely stomach it as it is.
>> No.5128  
>>5126
If I had 66% more day per day, id be stoked.
>> No.5145  
File: 1506609290112.jpg -(12779 B, 303x252) Thumbnail displayed, click image for full size.
12779
>> No.5278  
Days are too long as they are half the time
>> No.5286  
File: 1506990364583.png -(8001 B, 549x339) Thumbnail displayed, click image for full size.
8001
if i had a pizza for every time i saw a bad excel graph at a non-STEM presentation, id have a lot of pizzas
>> No.5318  
>>5286
aoe2 made those charts feel very natural
>> No.5421  
how do i differentiate my 1 subscripts from my commas
>> No.5422  
File: 1507840323226.jpg -(2936082 B, 3744x5616) Thumbnail displayed, click image for full size.
2936082
>>5421
impossible; syntacticaly seperate your ideas with 1 subscripts instead of commas for consistency
,,,,,,,,,,,,,


Delete Post []
Password